Aucun résultat
La page demandée est introuvable. Essayez d'affiner votre recherche ou utilisez le panneau de navigation ci-dessus pour localiser l'article.
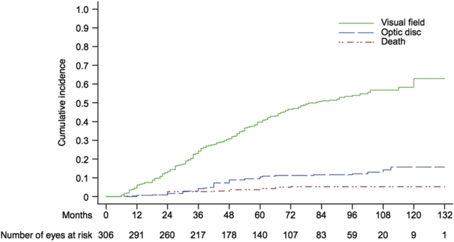
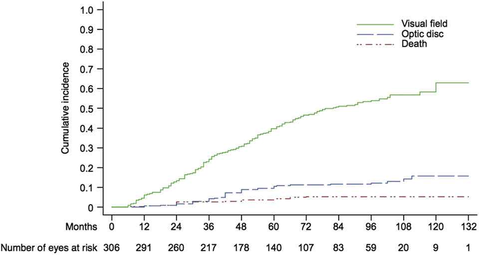
Ohnell H, Heijl A, Brenner L, Anderson H, Bengtsson B, Ophthalmology. 2016 Jun; 123(6): 1173-80
Le but de cette étude prospective randomisée suédoise était d’analyser la progression de la neuropathie optique glaucomateuse détectée, soit par rétinophotographie du nerf optique (examen à visée anatomique), soit par analyse du champ visuel (examen à visée fonctionnelle).
306 yeux ayant un glaucome débutant avéré, avec atteinte du champ visuel, et 192 yeux controlatéraux, sans atteinte du champ visuel initiale, ont été inclus à partir de la cohorte Early Manifest Glaucoma Trial (EMGT). La progression du champ visuel et de l’excavation papillaire a été étudiée pendant une période de suivi de huit ans. Trois grades de progression de l’excavation papillaire ont été définis en rétinophotographie. La progression du champ visuel a été évaluée par la Glaucoma Change Probability (Humphrey) avec les critères de progression de l’étude EMGT. Pour les yeux avec un glaucome avéré, la progression du glaucome était détectée par le champ visuel en premier dans 163 yeux (52%), par rétinophotographie en premier dans 39 yeux (12%) et par les deux méthodes simultanément dans un œil.
Parmi les yeux ayant un champ visuel initial normal, la progression était détectée par champ visuel en premier dans 28 yeux (15%), par rétinophotographie en premier dans 34 yeux (18%) et par les deux méthodes simultanément dans un œil.
L’étude révèle que, pour les yeux avec un glaucome avéré, la progression des altérations du champ visuel est plus souvent détectée que la progression des lésions papillaires jugée par l’analyse du nerf optique en rétinophotographie. En revanche, pour les yeux sans perte du champ visuel, la progression des lésions est détectée aussi fréquemment par analyse du nerf optique que par l’analyse du champ visuel.
https://www.aaojournal.org/article/S0161-6420(16)00124-X/fulltext