Webinaire du 10 mars 2026 19:00 Glaucome et IOL premium Dr Esther BLUMEN 19:18 Cataracte et glaucome à angle fermé Dr Elisa BLUWOL 19:36 Chirurgies combinées cataracte et chirurgie filtrante Pr Cédric SCHWEITZER 19:54 Chirurgies combinées cataracte et MIGS...
Anders Heijl
Les articles publiés par Anders Heijl
Glaucome débutant : la détection de la progression anatomique ou fonctionnelle ?
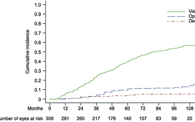
Ohnell H, Heijl A, Brenner L, Anderson H, Bengtsson B, Ophthalmology. 2016 Jun; 123(6): 1173-80 Le but de cette étude prospective randomisée suédoise était d’analyser la progression de la neuropathie optique glaucomateuse détectée, soit par rétinophotographie du nerf...
Glaucome : une étude sur le risque de cécité
Le glaucome est la deuxième cause de cécité au niveau mondial, après la dégénérescence maculaire liée à l’âge (DMLA) dans les pays industrialisés et après la cataracte dans les pays en développement. Bien que ces notions soient connues, le risque de devenir aveugle...
Prévalence des glaucomes non diagnostiqués : résultats de l’étude Early Manifest Glaucoma Trial
Heill A et al. Ophthalmology. 2013 Aug; 120(8): 1541-45. Cette étude réalise une analyse des données ophtalmologiques de 32 918 sujets qui ont bénéficié d’examens de dépistage du glaucome dans le cadre de la campagne de recrutement des patients inclus dans l’étude...